Effect of Various Oils on the Production of Lipase by Rhodotorula mucilaginosa and Yarrowia lipolytica Isolated from Spoiled Labneh
Article Main Content
The content of the medium is very important in the production of lipase enzyme. Microbial lipase production is carried out by adding carbon source to the compounds in the minimal medium. The use of olive oil is quite common in lipase production medium. In this study, it was aimed to increase lipase production by adding different oils instead of olive oil to the reference lipase production medium. For this purpose, corn oil, sunflower seed oil, walnut oil, hazelnut oil, safflower oil, avocado oil, organic sunflower seed oil, organic canola seed oil, organic flaxseed oil, organic soybean oil, pumpkin seed oil, black cumin oil, St. John’s wort oil and sesame oil were evaluated in terms of lipase production. Rhodotorula mucilaginosa and Yarrowia lipolytica strains, which were isolated, purified, and identified, and which caused spoilage in labneh were studied in lipase production. When olive oil was used in lipase production, the lipase activity of R. mucilaginosa was determined as 7.50 U/ml, and that of Y. lipolytica was determined as 8.09 U/ml. It was determined that the lipase activity of R. mucilaginosa was increased by organic linseed oil as 10.67 U/ml, St. John’s Wort oil as 10.17 U/ml, and organic sunflower oil as 9.67 U/ml, respectively. It was determined that the lipase activity of Y. lipolytica was increased by St. John’s Wort oil as 13.50 U/ml, organic linseed oil as 10.84 U/ml, and organic sunflower oil as 10.33 U/ml, respectively. It was also observed that black cumin oil inhibited the growth of both yeast strains.
Introduction
Carboxylic ester hydrolases and lipases are known as lipolytic enzymes. The main difference between lipases (EC 3.1.1.3) and carboxylic esters is that lipases can act on insoluble esters. Carboxylic ester hydrolases act on soluble esters with relatively short fatty acid chains, whereas lipases act on substrates with long fatty acid chains. The substrates that lipases act on are emulsified substrates (Locket al., 2007). Unlike other esterases, lipases require an oil-water interface to be active (Yeşiloğlu, 2005).
Lipases have many industrial applications, including the production of lipid-derived flavors and fragrances, primarily in the food industry, solubilization of drugs, biocide production, biosensor modulation, biosurfactants, and treatment of olive mill wastewater in bioremediation (Benjamin & Pandey, 1998).
There are several approaches to alter enzyme-substrate selectivity and improve lipase production, one of which is the design of culture conditions to increase lipase production, in other words, medium engineering (Tsaiet al., 2006). Lipases are enzymes with significant specificity due to their substrate, functional group, regio-, stereo-, and chemo-selectivity (Dalla-Vecchiaet al., 2004; Castilloet al., 2005; Yuet al., 2005). By changing the medium components through medium engineering, it is possible to produce lipases with different specificities (Lanciottiet al., 2005). Various components are present in the culture medium, some of which can be inducers for lipase production, while others can be suppressors. Examples of common inducers include long-chain fatty acids (such as olive oil) and organic nitrogen sources (Fickerset al., 2004). Glucose and glycerol are among the common suppressors.
In this study, it was aimed to increase lipase production by using various oils other than olive oil added as a carbon source to the minimal medium medium, and the lipase production obtained with olive oil was compared with the effect of these oils on lipase production. For this purpose, corn oil, sunflower seed oil, walnut oil, hazelnut oil, safflower oil, avocado oil, organic sunflower seed oil, organic canola seed oil, organic flaxseed oil, organic soybean oil, pumpkin seed oil, black cumin oil, St. John’s wort oil and sesame oil obtained from reliable companies in the market were evaluated in terms of lipase production. Yeast strains isolated and purified from spoiled labneh and identified as Rhodotorula mucilaginosa and Yarrowia lipolytica were used for lipase production.
Material and Method
Yeast Strains
Species identification of yeast strains isolated and purified from spoiled labneh was performed with universal primers ITS1 (5’ TCCGTAGGTGAACCTGCGG 3’) and ITS4 (5’ TCCTCCGCTTATTGATATGC 3’). As a result, it was determined that the first of the two yeast species isolated and purified was Rhodotorula mucilaginosa and the other was Yarrowia lipolytica.
Lipase Production Medium
There are many media for lipase production. However, the media we used as a reference in our study contains 12 NaH2PO4, 2 KH2PO4, 0.3 MgSO4.7H2O, 0.25 CaCl2, 0.005 FeSO4.7H2O, 0.015 MnSO4.7H2O, 0.03 ZnSO4.7H2O in grams per liter (Hatzinikolaouet al., 1996). After sterilization in an autoclave at 121 °C and 1 atm pressure for 15 minutes, lipase production was determined by adding various oils as a carbon source under sterile conditions when the temperature dropped below 65 °C.
Oils Used for Lipase Production
After the minimal medium content was autoclaved, various oils were used as the carbon source required for lipase production. In addition to the natural extra virgin olive oil frequently used in studies, corn oil, sunflower seed oil, walnut oil, hazelnut oil, safflower oil, avocado oil, organic sunflower seed oil, organic canola seed oil, organic flaxseed oil, organic soybean oil, pumpkin seed oil, black cumin oil, St. John’s wort oil and sesame oil were evaluated in terms of lipase production. These oils were supplied from reliable companies in the market and the composition of the oils is shown in Table I.
| Oils | Compositions of oils (gr/100gr, w/w) | ||
|---|---|---|---|
| Monounsaturated fats | Polyunsaturated fats | Saturated fats | |
| Natural extra virgin olive oil | 72 | 11 | 17 |
| Corn oil | 28 | 51 | 12 |
| Sunflower seed oil | 32 | 49 | 10 |
| Organic sunflower seed oil | 36.43 | 55 | 8.57 |
| Walnut oil | 22.8 | 63.3 | 9.1 |
| Hazelnut oil | 77 | 15 | 8 |
| Safflower oil | 21 | 69 | 10 |
| Avocado oil | 61.1 | 25.6 | 13.3 |
| Organic canola seed oil | 58.9 | 29.6 | 7.1 |
| Organic flaxseed oil | 22.86 | 70.00 | 7.14 |
| Organic soybean oil | 22.8 | 57.7 | 15.6 |
| Pumpkin seed oil | 34.29 | 47.86 | 17.14 |
| St. John’s wort oil | 72.97 | 10.99 | 16.04 |
| Sesame oil | 40 | 43.57 | 15.71 |
| Black cumin oil | 24.29 | 58.57 | 16.43 |
Inoculation and Incubation
In order to inoculate microorganisms into lipase production medium, firstly stock cultures were prepared for Rhodotorula mucilaginosa and Yarrowia lipolytica strains. Pure cultures in Potato Dextrose Agar (PDA) medium were inoculated into potato dextrose broth medium (100 ml medium in 250 ml Erlen Meyers) and incubated at 30°C for 48 hours. After incubation, microorganism counts in liquid stock cultures was determined by petri plate method, and liquid stock cultures were adjusted for both yeast strains to be 25 × 107 yeast/ml for each strain. 1 ml of stock yeast cultures were inoculated into lipase production medium, and incubation was carried out at 30°C for 48 hours for each experimental study.
Determination of Dry Weight of Strains After Incubation
To determine the dry weights of R. mucilaginosa and Y. lipolytica strains, first, the production media were centrifuged at 5000 rpm for 15 minutes. After centrifugation, the upper part was used for determination of lipase activity, while the dry weight of the biomass that settled to the bottom was determined. The strains, completely free of medium and oil residues, were dried in an oven at 40°C for 7 days and then their dry weights were measured and graphed.
Determination of Lipase Activity by Titration
After lipase production, the titration method was applied for determination of lipase activity (Sugiharaet al., 1991). Lipase activity was performed by titration in four stages. In the first stage, 1 ml oil, 4.5 ml 50 mM pH 5.6 acetate buffer, 0.5 ml 0.1 M CaCl2, and 1 ml filtrate were added. After incubation to obtain filtrate, culture media were centrifuged at 5000 rpm for 15 minutes. In the second stage, the media prepared in the first stage was incubated at 30°C for 30 minutes at 200 rpm cyclic shaking speed. This stage is the stage where the oil added to the media reacts with the lipase enzyme in the filtrate and fatty acids are released as a result. In order to terminate this reaction, 20 ml of 99% ethyl alcohol was added to the media after incubation in the third stage. The last and fourth stage is the stage of measuring lipase activity by titration. After the third stage, the medium was titrated to pH 10.5 with 50 mM KOH. Lipase activity was calculated by replacing the spent KOH in the formula, and the amount of fatty acid released was determined as unit activity: 50 × Spent KOH amount (ml)/30 = U/ml. In the determination of lipase activity, distilled water was used instead of the filtrate, and the obtained value was obtained by subtracting it from the measurements made with the filtrate. One lipase activity unit was defined as the activity that released 1 μmol of fatty acid under the above conditions.
Results
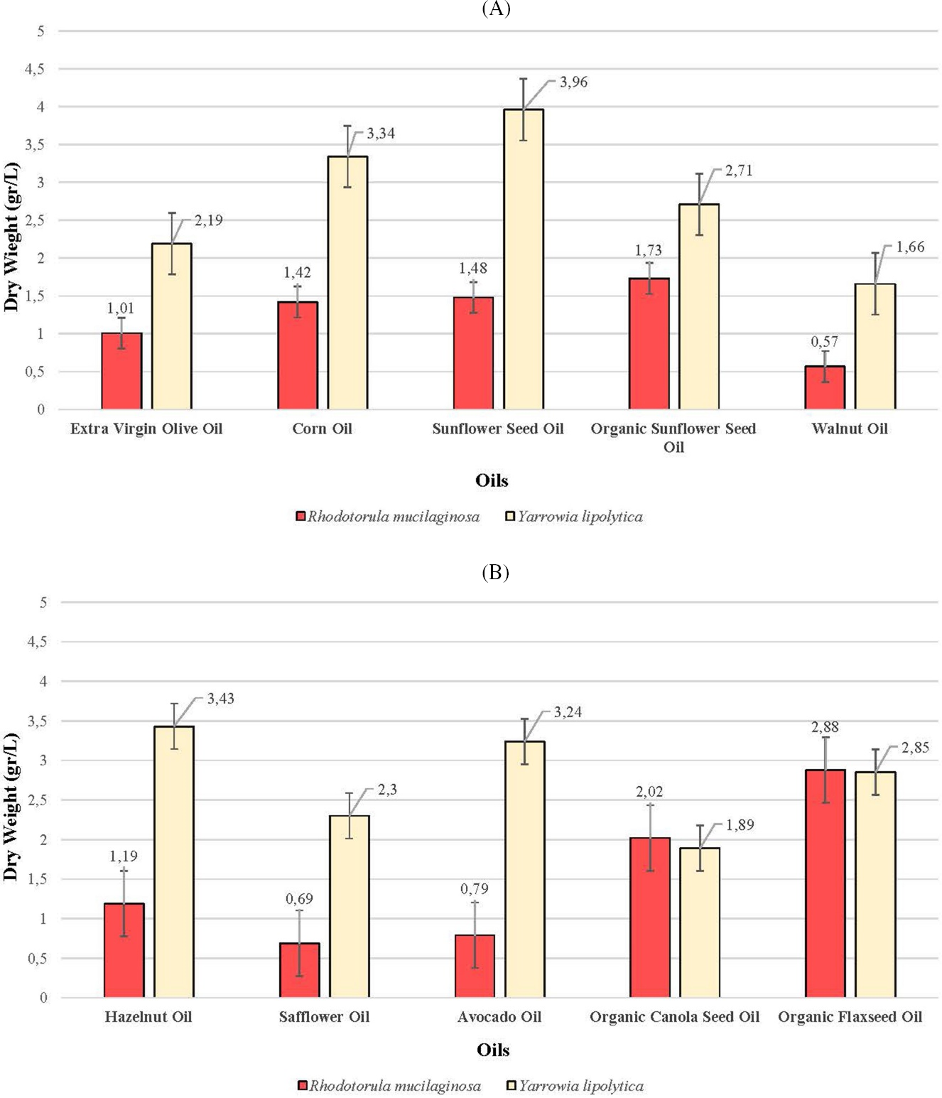
Lipase production of Rhodotorula mucilaginosa and Yarrowia lipolytica yeast strains isolated and identified from spoiled labneh was investigated with various oils added to the medium as carbon sources. First of all, the effect of olive oil, which is frequently used in lipase production, on lipase production was determined and calculated as 7.50 U/ml for R. mucilaginosa and 8.09 U/ml for Y. lipolytica, respectively. Starting from this reference point, various oils other than olive oil were added to the lipase production medium and the effect of these oils on lipase production was determined. According to the obtained results, it was determined that the lipase activity of R. mucilaginosa was increased by 10.67 U/ml of organic flaxseed oil, 10.17 U/ml of St. John’s wort oil and 9.67 U/ml of organic sunflower oil, respectively, while the lipase activity of Y. lipolytica was increased by 13.50 U/ml of St. John’s wort oil, 10.84 U/ml of organic linseed oil and 10.33 U/ml of organic sunflower oil, respectively. Lipase production results of all oils used in the study are given in Fig. 1. In addition, the effects of the oils used in the study on the growth of R. mucilaginosa and Y. lipolytica were also determined. After incubation, their dry weights were calculated and graphed (Fig. 2). After incubation in lipase production medium, the highest biomass increase was detected in media containing organic flaxseed (2.88), organic canola seed (2.02) and organic sunflower oils (1.73) per g/L for R. mucilaginosa. The highest biomass increase of Y. lipolytica occurred in media containing sesame oil (4.10), sunflower oil (3.96), and hazelnut oil (3.43) per g/L, respectively. The biomasses of R. mucilaginosa and Y. lipolytica in lipase production medium containing olive oil were determined as 1.01 and 2.19 g/L, respectively. It was observed that black cumin oil, one of the oils used in lipase production, seriously suppressed the growth of both yeast strains. As a result of this suppression, lipase production could not be measured.
Fig. 1. Effect of various oils on lipase production by R. mucilaginosa and Yarrowia lipolytica: A) extra virgin olive oil, corn oil, sunflower seed oil, organic sunflower seed oil, walnut oil, B) hazelnut oil, safflower oil, avocado oil, organic canola seed oil, organic flaxseed oil, C) organic soybean oil, pumpkin seed oil, St. John’s wort oil, sesame oil, black cumin oil.
Fig. 2. Effect of various oils on the biomass of R. mucilaginosa and Y. lipolytica (Dry weight, gr/L): A) extra virgin olive oil, corn oil, sunflower seed oil, organic sunflower seed oil, walnut oil, B) hazelnut oil, safflower oil, avocado oil, organic canola seed oil, organic flaxseed oil, and C) organic soybean oil, pumpkin seed oil, St. John’s wort oil, sesame oil, black cumin oil.
Discussion
Yarrowia lipolytica is a dimorphic, aerobic and non-pathogenic yeast. The prominent features of this yeast include its ability to grow in hydrophobic environments, its relatively large phylogenetic distance compared to other yeasts, its unique genome structure and sharing common features with higher eukaryotes. The ability to grow in hydrophobic environments allows this yeast to use triglycerides and fatty acids as carbon sources in its metabolism (Gonçalveset al., 2014; Park & Ledesma-Amaro, 2023). Y. lipolytica, which has an important place in biotechnological applications, can cause food spoilage in some cases and the psychrotrophic nature of some strains can also be a factor in food spoilage at low temperatures. Y. lipolytica can cause a surface color change, which is an undesirable situation in cheeses (Zinjarde, 2014). It can be said that the industrial importance of Yarrowia lipolytica is based on lipase production. For this reason, there are many publications on Y. lipolytica lipase in the literature.
Rhodotorula mucilaginosa is considered one of the red yeasts. It owes this title to the formation of pinkish-red colonies due to the production of significant amounts of carotenoid pigments inside the cell (Liet al., 2022). R. mucilaginosa is a hyphaeless, unicellular, saprophytic eukaryote. They can be found widely in ecological environments, as well as in contaminated and polluted environments, and can even be found in the rhizosphere soil of plants as endophytes (Zhaoet al., 2019; Saha & Seal, 2015). Although most strains of R. mucilaginosa are considered reliable, some have low pathogenicity and are considered opportunistic pathogens. However, just like Y. lipolytica, lipase production studies from R. mucilaginosa are also quite numerous.
Many media are used in lipase production studies from microbial sources. These media generally contain nutrients such as peptone, MgSO4•7H2O, K2HPO4, KH2PO4, CaCl2, (NH4)2SO4, FeCl3•H2O, FeSO4•7H2O, NaH2PO4, NaNO3, MnSO4•7H2O, ZnSO4•7H2O (Hatzinikolaouet al., 1996; Benjamin & Pandey, 1996; Iftikharet al., 2008; Açıkelet al., 2011; Shafqatet al., 2015; Soleymaniet al., 2017; Adetunji & Olaniran, 2018; Pramitasari & Ilmi, 2021). However, in most of these media, 1% or 2% olive oil is added to the basal medium for lipase production.
As mentioned above, there are many lipase production studies from Y. lipolytica and R. mucilaginosa. In a recent study, lipase production from Yarrowia lipolytica was studied and it was found an activity of 634.32 U/L (Santoset al., 2022). In another study, Darvishiet al. (2011) used olive oil in lipase production medium and detected 356 U/mL lipase activity from the Y. lipolytica strain that had been mutated. Yuet al. (2007) detected 5720 U/ml activity in the Y. lipolytica lipase they purified. In another study, maximum lipase activity was obtained as 13.0 U/mL with 70 g/L (1:1) peptone mixture and an initial pH of 5.0 (Gonçalveset al., 2013). Darvishiet al. (2009) investigated the effects of different oils on lipase production of Y. lipolytica DSM 3286 strain and determined lipase activity as 34.6 ± 0.1 U/mL in olive oil-containing medium. In their research, they used wheat germ oil, sweet almond oil, bitter almond oil, castor oil, sesame oil, soybean oil, olive oil, canola oil, walnut oil, and coconut oil. It appears that these high lipase production values are achieved either as a result of optimization of environmental conditions or mutation of the yeast. In a study conducted with Rhodotorula mucilaginosa, 3% molasses, and 1% olive oil were studied in the production environment, and lipase activity was determined as 10.3 U/ml (Hammamchı & Cihangir, 2017). In a study on Rhodotorula mucilaginosa MTCC 8737 strain, molasses was used in lipase production medium and maximum lipase activity was obtained as 72 U/ml (Potumarthiet al., 2008). Nuylert and Hongpattarakere (2013) determined the maximum lipase production of R. mucilaginosa P11I89 as 272.72 U/L.
When compared with studies with both Y. lipolytica and R. mucilaginosa, we can recommend the use of organic flaxseed oil instead of olive oil for R. mucilaginosa and St. John’s Wort oil for Y. lipolytica in lipase production media.
References
-
Adetunji, A. I., & Olaniran, A. O. (2018). Optimization of culture conditions for enhanced lipase production by an indigenous Bacillus aryabhattai SE3-PB using response surface methodology. Biotechnology & Biotechnological Equipment,32(6),1514–1526.https://doi.org/10.1080/13102818.2018.1514985.
Google Scholar
1
-
Açıkel, Ü., Er¸ san, M., & Açıkel, Y. S. (2011). The effects of the composition of growth medium and fermentation conditions on the production of lipase by R. delemar. Turkish Journal of Biology, 35, 35–44. https://doi.org/10.3906/biy-0902-14.
Google Scholar
2
-
Benjamin, S., & Pandey, A. (1996). Optimization of liquid media for lipase production by Candida rugosa.Bioresource Technology,55(2), 167–170. https://doi.org/10.1016/0960-8524(95)00194-8.
Google Scholar
3
-
Benjamin, S., & Pandey, A. (1998). Candida rugosa lipases: Molecular biology and versatility in biotechnology. Yeast, 14(12), 1069–1087. https://doi.org/10.1002/(SICI)1097-0061(19980915)14:.
Google Scholar
4
-
Castillo, B., Pacheco, Y., Al-Azzama, W., Griebenowa, K., Devi, M., Ferrer, A., & Barletta, G. (2005). On the activity loss of hydrolasesin organic solvents I. Rapid loss of activity of a variety of enzymes and formulations in a range of organic solvents. Journal of Molecular Catalysis B: Enzymatic, 35(4–6), 147–153. https://doi.org/10.1016/j.molcatb.2005.06.008.
Google Scholar
5
-
Dalla-Vecchia, R., Nascimento, M., & Soldi, V. (2004). Synthetic applications of immobilized lipases in polymers. Química Nova, 27(4), 623–630. https://doi.org/10.1590/S0100-40422004000400017.
Google Scholar
6
-
Darvishi, F., Destain, J., Nahvi, I., Thonart, P., & Zarkesh-Esfahani, H. (2011). High-level production of extracellular lipase by Yarrowia lipolytica mutants from methyl oleate. New Biotechnology, 28(6), 756–760. https://doi.org/10.1016/j.nbt.2011.02.002.
Google Scholar
7
-
Darvishi, F., Nahvi, I., Zarkesh-Esfahani, H., & Momenbeik, F. (2009). Effect of plant oils upon lipase and citric acid production in Yarrowia lipolytica Yeast. Journal of Biomedicine and Biotechnology, 2009, 562943. https://doi.org/10.1155/2009/562943.
Google Scholar
8
-
Fickers, P., Nicaud, J. M., Gaillardin, C., Destain, J., & Thonart, P. (2004).Carbon and nitrogen sources modulate lipase productionin the yeast Yarrowia lipolytica. Journal of Applied Microbiology,96(4), 742–749. https://doi.org/10.1111/j.1365-2672.2004.02190.x.
Google Scholar
9
-
Gonçalves, F. A. G., Colen, G., & Takahashi, J. A. (2013). Optimization of cultivation conditions for extra cellular lipase production by Yarrowia lipolytica using response surface method. African Journal of Biotechnology, 12(17), 2270–2278. https://doi.org/10.5897/AJB2012.3019.
Google Scholar
10
-
Gonçalves, F. A. G., Colen, G., & Takahashi, J. A. (2014). Yarrowia lipolytica and Its multiple applications in the biotechnological industry. Scientific World Journal, 13, 476207. https://doi.org/10.1155/2014/476207.
Google Scholar
11
-
Hammamchı, H., & Cihangir, N. (2017). Production of lipase by newly isolated Rhodotorula mucilaginosa by using molasses, important environmental pollutant.15th International Conference on Environmental Science and Technology, Rhodes,Greece.
Google Scholar
12
-
Hatzinikolaou, D. G., Macris, J. B., Christakopoulos, P., Kekos, D., Kolisis, F. N., & Fountoukidis, G. (1996). Production and partial characterisation of extracellular lipase from Aspergillus niger. Biotechnology Letters, 18, 547–552. https://doi.org/10.1007/BF00140201.
Google Scholar
13
-
Iftikhar, T., Niaz, M., Afzal, M., ul-Haq, I., & Rajoka, M. I. (2008). Maximization of intracellular lipase production in a lipase-overproducing mutant derivative of Rhizopus oligosporus DGM31: A kinetic study. Food Technology and Biotechnology,46(4),402–412.
Google Scholar
14
-
Lanciotti, R., Gianotti, A., Baldi, D., Angrisani, R., Suzzi, G., Mastrocola, D., & Guerzoni, M. E. (2005). Use of Yarrowia lipolytica strains for the treatment of olive mill wastewater. Bioresource Technology, 96(3), 317–322. https://doi.org/10.1016/j.biortech.2004.04.009.
Google Scholar
15
-
Li, Z., Li, C., Cheng, P., & Yu, G. (2022). Rhodotorula mucilaginosa-alternative sources of natural carotenoids, lipids, and enzymes for industrialuse.Heliyon, 8(11), e11505.
Google Scholar
16
-
Lock, L. L., Corbellini, V. A., & Valente, P. (2007). Lipases produced by yeasts: Powerful biocatalysts for industrial purposes. Tecno-Lógica, 11(1), 18–25. https://doi.org/10.17058/tecnolog.v11i1.153.
Google Scholar
17
-
Nuylert, A., Hongpattarakere, T. (2013). Improvement of cell-bound lipase from Rhodotorula mucilaginosa P11I89 for use as a methanol-tolerant, whole-cell biocatalyst for production of palm-oil biodiesel. Annals of Microbiology, 63, 929–939. https://doi.org/10.1007/s13213-012-0546-0.
Google Scholar
18
-
Park, Y. -K., & Ledesma-Amaro, R. (2023). What makes Yarrowia lipolytica well suited for industry? Trends in Biotechnology, 41(2), 242–254.
Google Scholar
19
-
Potumarthi, R., Subhakar, C., Vanajakshi, J., & Jetty, A. (2008). Effect of a eration and agitation regimes on lipase production by newly isolated Rhodotorula mucilaginosa MTCC, 8737 in stirred tank reactor using molasses as sole production medium. Applied Biochemistry and Biotechnology,151(2–3),700–710.https://doi.org/10.1007/s12010-008-8293-1.
Google Scholar
20
-
Pramitasari, M. D., & Ilmi, M. (2021). Optimization of medium for lipase production from Zygosaccharomyces mellis SG1.2 using statistical experiment design. Microbiology and Biotechnology Letters, 49(3), 337–345. https://doi.org/10.48022/mbl.2106.06016.
Google Scholar
21
-
Saha, C., & Seal, A. (2015). Early changes in shoot transcriptome of rice in response to Rhodotorula mucilaginosa JGTA-S1.Genom Data, 6, 237–240. https://doi.org/10.1016/j.gdata.2015.09.023.
Google Scholar
22
-
Santos, A. G., Buarque, F. S., Ribeiro, B. D., & Coelho, M. A. Z. (2022). Extractive fermentation for the production and partitioning of lipase and citric acid by Yarrowia lipolytica. Process Biochemistry, 122, 374–385. https://doi.org/10.1016/j.procbio.2022.09.011.
Google Scholar
23
-
Shafqat, I., Shahzad, S., & Yasmin, A. (2015). Microbial potential of lipase production from different industrial effluents. Journal of Applied Biological Sciences, 9(1), 15–19.
Google Scholar
24
-
Soleymani, S., Alizadeh, H., Mohammadian, H., Rabbani, E., Moazen, F., Sadeghi, H. M., Shariat, Z. S., Etemadifar, Z., & Rabbani, M. (2017). Efficient media for high lipase production: One variable at a time approach. Avicenna Journal of Medical Biotechnology, 9(2), 82–86.
Google Scholar
25
-
Sugihara, A., Tani, T., & Tominaga, Y. (1991). Purification and characterization of a novel thermostable lipase from Bacillus sp. Journal of Biochemistry, 109(2), 211–216.
Google Scholar
26
-
Tsai, S. -W., Chen, C. -C., Yang, H. -S., Ng, I. -S., & Chen, T. -L. (2006). Implication of substrate-assisted catalysis on improving lipase activity or enantioselectivity in organic solvents. Biochimica et Biophysica Acta, 1764(8), 1424–1428. https://doi.org/10.1016/j.bbapap.2006.07.001.
Google Scholar
27
-
Ye¸ silo˘ glu, Y. (2005). Utilization of bentonite as a support material for immobilization of Candida rugosa lipase. Process Biochemistry, 40(6), 2155–2159. https://doi.org/10.1016/j.procbio.2004.08.008.
Google Scholar
28
-
Yu, H. W., Chenb, H., Yang, Y. Y., & Ching, C. B. (2005). Effect of salts on activity, stability and enantioselectivity of Candida rugosa lipase inisooctane. Journal of Molecular Catalysis B: Enzymatic, 35(1–3), 28–32. https://doi.org/10.1016/j.molcatb.2005.05.002.
Google Scholar
29
-
Yu, M., Qin, S., & Tan, T. (2007). Purification and characterization of the extra cellular lipase Lip2 from Yarrowia lipolytica. Process Biochemistry,42(3),384–391.https://doi.org/10.1016/j.procbio.2006.09.019.
Google Scholar
30
-
Zhao, Y., Guo, L., Xia, Y., Zhuang, X., & Chu, W. (2019). Isolation, identification of carotenoid-producing Rhodotorula sp.from marine environment and optimization for carotenoid production. Marine Drugs, 17(3), 161.https://doi.org/10.3390/md17030161.
Google Scholar
31
-
Zinjarde, SS. (2014). Food-related applications of Yarrowia lipolytica. Food Chemistry, 152, 1–10. https://doi.org/10.1016/j.foodchem.2013.11.117.
Google Scholar
32





